Lublin, 19 września 2025 r.
Do Dyrekcji Szkoły Podstawowej nr 10 w Gliwicach
ul. Ligonia 36
44-100 Gliwice
e-mail: sekretariat@zsp7.gliwice.eu
Szanowni Państwo,
Działając imieniem Fundacji Wolność od Religii, w ramach prowadzonej kampanii społecznej na rzecz przestrzegania w naszym kraju prawa oświatowego zwracam się z wnioskiem o umieszczenie religii katolickiej na pierwszej lub ostatniej godzinie lekcyjnej w planach zajęć uczniów, z wyjątkiem oddziałów w których 100% uczniów zostało zapisanych na te zajęcia dodatkowe.
Chcemy zwrócić Państwa uwagę, iż z dniem 1 września 2025 roku weszło w życie Rozporządzenie Ministra Edukacji z dnia 17 stycznia 2025 r. zmieniające rozporządzenie w sprawie warunków i sposobu organizowania nauki religii w publicznych przedszkolach i szkołach (Dz. U. poz. 66), zgodnie z którym nauka religii w szkołach odbywa się w wymiarze jednej godziny tygodniowo, która musi być organizowana bezpośrednio przed rozpoczęciem obowiązkowych zajęć edukacyjnych lub bezpośrednio po ich zakończeniu.
§ 8 Rozporządzenia Ministra Edukacji Narodowej z dnia 14 kwietnia 1992 r. w sprawie warunków i sposobu organizowania nauki religii w publicznych przedszkolach i szkołach (t.j. Dz. U. z 2020 r. poz. 983 z późn. zm.). uzyskał następujące brzmienie: „Nauka religii w przedszkolach odbywa się w wymiarze dwóch zajęć przedszkolnych tygodniowo, a w szkołach – w wymiarze jednej godziny lekcyjnej tygodniowo”. Zmieniające rozporządzenie wprowadza również §8a do wspomnianego rozporządzenia, zgodnie z którym „nauka religii lub etyki jest organizowana bezpośrednio przed rozpoczęciem obowiązkowych zajęć edukacyjnych, o których mowa w art. 109 ust. 1 pkt 1 ustawy z dnia 14 grudnia 2016 r. – Prawo oświatowe, przewidzianych dla ucznia w danym dniu albo bezpośrednio po zakończeniu tych zajęć”. Ust. 2 wspomnianego dodanego §8a rozporządzenia wprowadza jednak wyjątek umożliwiający organizację zajęć religii lub etyki w trakcie lekcji (w środku dnia), ale tylko:
- w przypadku szkół podstawowych
- gdy według stanu na dzień 15 września danego roku szkolnego, uczestniczą w religii lub etyki wszyscy uczniowie danego oddziału.
Ponadto na podstawie art. 2 ust. 1 ustawy o dostępie do informacji publicznej, działając imieniem Fundacji Wolność od Religii z siedzibą w Lublinie, w ramach prowadzonej działalności, wnoszę o udostępnienie informacji publicznej poprzez udzielenie odpowiedzi na poniższe pytania:
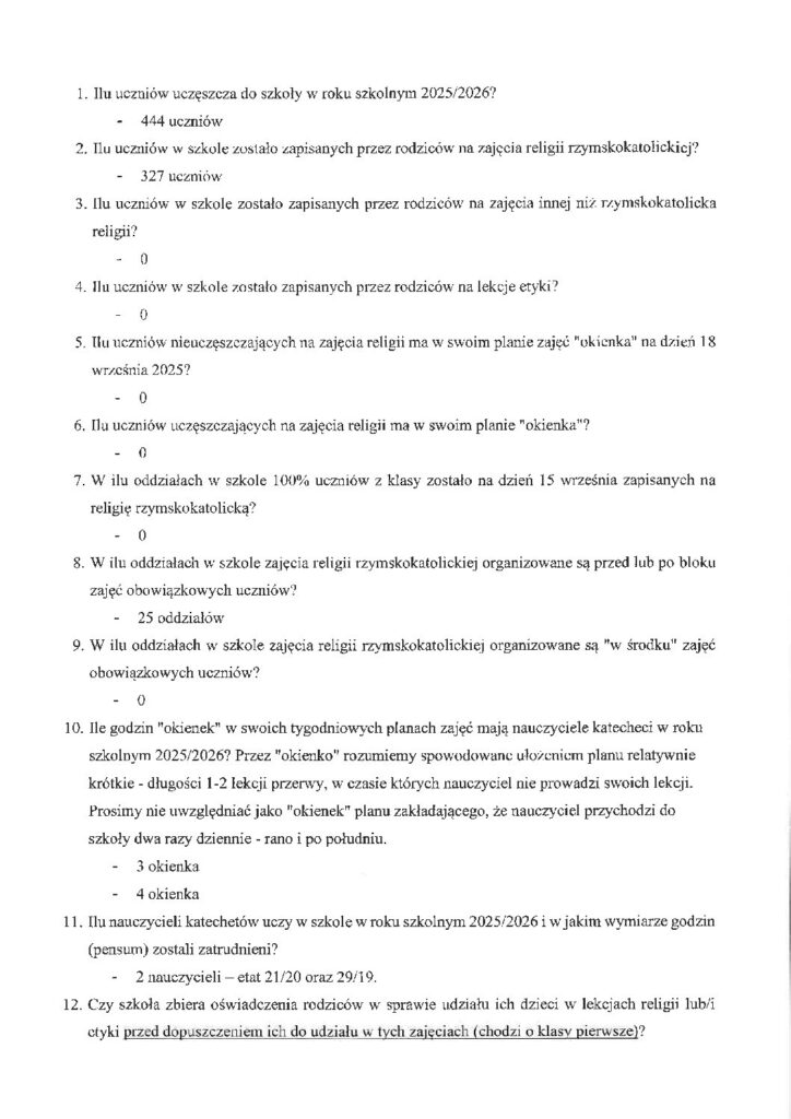
- Ilu uczniów uczęszcza do szkoły w roku szkolnym 2025/2026?
- Ilu uczniów w szkole zostało zapisanych przez rodziców na zajęcia religii rzymskokatolickiej?
- Ilu uczniów w szkole zostało zapisanych przez rodziców na zajęcia innej niż rzymskokatolicka religii?
- Ilu uczniów w szkole zostało zapisanych przez rodziców na lekcje etyki?
- Ilu uczniów nieuczęszczających na zajęcia religii ma w swoim planie zajęć „okienka” na dzień 18 września 2025?
- Ilu uczniów uczęszczających na zajęcia religii ma w swoim planie „okienka”?
- W ilu oddziałach w szkole 100% uczniów z klasy zostało na dzień 15 września zapisanych na religię rzymskokatolicką?
- W ilu oddziałach w szkole zajęcia religii rzymskokatolickiej organizowane są przed lub po bloku zajęć obowiązkowych uczniów?
- W ilu oddziałach w szkole zajęcia religii rzymskokatolickiej organizowane są „w środku” zajęć obowiązkowych uczniów?
- Ile godzin „okienek” w swoich tygodniowych planach zajęć mają nauczyciele katecheci w roku szkolnym 2025/2026? Przez „okienko” rozumiemy spowodowane ułożeniem planu relatywnie krótkie – długości 1-2 lekcji przerwy, w czasie których nauczyciel nie prowadzi swoich lekcji. Prosimy nie uwzględniać jako „okienek” planu zakładającego, że nauczyciel przychodzi do szkoły dwa razy dziennie – rano i po południu.
- Ilu nauczycieli katechetów uczy w szkole w roku szkolnym 2025/2026 i w jakim wymiarze godzin (pensum) zostali zatrudnieni?
- Czy szkoła zbiera oświadczenia rodziców w sprawie udziału ich dzieci w lekcjach religii lub/i etyki przed dopuszczeniem ich do udziału w tych zajęciach (chodzi o klasy pierwsze)?
- Czy w dzienniku elektronicznym uczniowie klas pierwszych nieuczestniczący w dodatkowych zajęciach katechezy mają wpisane przez katechetów zwolnienie („zw”) lub „nieobecność” do czasu „zapisania” na religię?
- W jaki sposób wyrażane jest życzenie rodziców lub pełnoletnich uczniów w sprawie uczęszczania na lekcje religii lub/i etyki? Jeśli jest to druk prosimy o udostępnienie treści druku.
- Czy w druku, którym posługuje się szkoła uwzględniono możliwość organizowania przez szkołę zajęć z religii innej niż rzymskokatolicka np. prawosławnej lub etyki?
- Czy i w jaki sposób rodzice oraz uczniowie informowani są o prawie do uczęszczania na lekcje etyki (w tym o możliwości udziału w lekcjach religii i etyki jednocześnie)?
- Czy w szkole organizowane są lekcje etyki dla chętnych uczniów?
- Czy lekcje etyki były organizowane w uprzednim roku szkolnym 2024/2025?
- Ile oświadczeń wskazujących na życzenie rodziców co do udziału ich dzieci w lekcjach etyki szkoła otrzymała w roku szkolnym 2023/2024 oraz w 2022/2023?
- Jeżeli szkoła otrzymała od rodziców lub pełnoletnich uczniów oświadczenia wskazujące na ich życzenie udziału w lekcjach etyki w ostatnich trzech latach, czy udział w lekcjach został uczniom zapewniony? Jeżeli chętni uczniowie nie uczęszczali na lekcje etyki, pomimo uprzedniego wyrażenia życzenia, proszę o wskazanie powodu i informacji przekazanej zainteresowanym rodzicom/uczniom, a także czy szkoła ewentualnie przekazała otrzymane oświadczenia rodziców do organu zarządzającego szkołą?
- Czy w planach zajęć uczniów zapisanych na etykę w poprzednim roku szkolnym, przedmiot jest widoczny analogicznie do katechezy, już z dniem 1 września?
Wskazuję również, iż zgodnie z art. 13 ust. 1 Ustawy Udostępnianie informacji publicznej na wniosek następuje bez zbędnej zwłoki, nie później jednak niż w terminie 14 dni od dnia złożenia wniosku.
Stosownie do art. 14 ust. 1 ustawy, określam następujący sposób i formę udostępnienia żądanych informacji, tj. wysyłka na wskazany adres e-mail fundacja.wor@gmail.com, jako załącznik do korespondencji elektronicznej.
Z wyrazami szacunku
Dorota Wójcik
prezeska zarządu
W związku z brakiem odpowiedzi w dniu 15 października 2025 r. przesłaliśmy do szkoły wezwanie przedsądowe.
Lublin, 15 października 2025 r.
Do Dyrekcji Szkoły Podstawowej nr 10 w Gliwicach
ul. Ligonia 36
44-100 Gliwice
e-mail: sekretariat@zsp7.gliwice.eu
PRZEDSĄDOWE WEZWANIE DO WYKONANIA OBOWIĄZKU
Działając w imieniu Fundacji Wolność od Religii,jako prezeska zarządu, wzywam Państwa do wykonania obowiązku ustawowego wskazanego w art. 13 ust. 1 Ustawy z dnia 6 września 2001 roku o dostępie do informacji publicznej (Dz.U. z 2020, poz. 2176), tj. do odpowiedzi na wniosek o udostępnienie informacji publicznej, który został skierowany do Państwa w dniu 19.09.2025 r. Drogą mailową otrzymaliście Państwo wniosek o udostępnienie informacji publicznej. Zgodnie z art. 61 ust. 1 Konstytucji RP (Dz.U. 1997, NR 78 poz. 483) oraz zgodnie z art. 4 ust 1 Ustawy z dnia 6 września 2001 roku o dostępie do informacji publicznej (Dz.U. z 2020, poz. 2176) placówka edukacyjna jako podmiot wykonujący zadania publiczne – zadania z zakresu edukacji publicznej jest zobowiązana do udostępniania informacji publicznej.
Termin „zadania publiczne” w rozumieniu art. 4 ust. 1 ustawy z dnia 6 września 2001 r. o dostępie do informacji publicznej (t.j. Dz.U. z 2014 r. poz. 782) jest pojęciem szerszym od terminu „zadania władzy publicznej” (art. 61 Konstytucji RP). Pojęcie „zadanie publiczne” użyte w art. 4 ust. 1 ustawy z dnia 6 września 2001 r. o dostępie do informacji publicznej zamiast pojęcia „zadanie władzy publicznej” użytego w art. 61 Konstytucji RP ignoruje element podmiotowy i oznacza, że zadania publiczne mogą być wykonywane przez różne podmioty, niebędące organami władzy i bez konieczności przekazywania tych zadań. Tak rozumiane „zadanie publiczne” cechuje powszechność i użyteczność dla ogółu, a także sprzyjanie osiąganiu celów określonych w Konstytucji lub ustawie. Wykonywanie zadań publicznych zawsze wiąże się z realizacją podstawowych publicznych praw podmiotowych obywateli (wyrok Wojewódzkiego Sądu Administracyjnego w Krakowie z 6 czerwca 2014 r., II SAB/Kr 139/14).
Wobec upływu 14 dni od dnia otrzymania wniosku o udzielenie informacji publicznej należy stwierdzić, że brak odpowiedzi wypełnia znamiona bezczynności organu.
Wyznaczamy Państwu ostateczny przedsądowy termin na udzielenie informacji publicznej w przedmiotowej sprawie na 7 dni od otrzymania niniejszego pisma.
Informujemy, że w razie braku odpowiedzi skierujemy skargę na bezczynność organu do właściwego miejscowo wojewódzkiego sądu administracyjnego, co będzie oznaczało obarczenie Państwa placówki dodatkowymi kosztami.
Z wyrazami szacunku
Dorota Wójcik
prezeska zarządu
W dniu 17 października 2025 r. wpłynęła odpowiedź ze szkoły.
Szanowni Państwo.
W związku z zapytaniem o udostępnienie informacji publicznej złożonym przez Fundację Wolności od Religii, uprzejmie informuję, że brak odpowiedzi w ustawowym terminie wynikał z przyczyn organizacyjnych niezależnych od Dyrektora. Jednocześnie pragnę podkreślić, że opóźnienie nie było zamierzone, a sprawa została potraktowana z należytą uwagą. W związku z powyższym, niezwłocznie udzielamy odpowiedzi na otrzymane wezwanie.
Na polecenie dyrektora,
Iwona Buchalik-sekretarz



W związku z treścią otrzymanej odpowiedzi fundacja zwróciła się ze skargą do Kuratorium Oświaty.
Lublin, 21 października 2025 r.
Szanowna Pani Aleksandra Dyla
Śląski Kurator Oświaty
Kuratorium Oświaty w Katowicach
ul. Powstańców 41 a
40-024 Katowice
e-mail: kancelaria@kuratorium.katowice.pl
WYSTĄPIENIE DO KURATORA OŚWIATY W SPRAWIE NIEPRAWIDŁOWOŚCI WRAZ Z WNIOSKIEM O ZAJĘCIE SIĘ SPRAWĄ
Wnoszę o interwencję w opisanej poniżej sprawie i podjęcie odpowiednich środków nadzorczych ze względu na występujące w Szkole Podstawowej nr 10 w Gliwicach, 44-100 Gliwice nieprawidłowości w postaci naruszania przepisów oświatowych oraz dyskryminacji uczennic i uczniów nieuczęszczających na nieobowiązkowe lekcje religii rzymskokatolickiej.
Wskazuję, iż podjęcie interwencji w sprawie jest niezbędne zarówno w związku z nieprzestrzeganiem przez szkołę Prawa oświatowego, ale także na podstawie art. 55 ust. 2 pkt 5 Prawa oświatowego, zgodnie z którym nadzorowi podlega w szczególności przestrzeganie praw dziecka i praw ucznia oraz upowszechnianie wiedzy o tych prawach.
Fundacja korespondowała z dyrekcją szkoły w związku z otrzymywanymi od rodziców uczniów z tej placówki skargami dotyczącymi umieszczania religii w bloku lekcji obowiązkowych, a także wymuszania składania oświadczeń negatywnych tj. o nieuczęszczaniu na lekcje religii oraz odnotowywania nieobecności uczniów niezapisanych na religię w dzienniku elektronicznym.
Dyrekcja szkoły w odpowiedzi na naszą prośbę załączyła druk oświadczenia dotyczącego udziału ucznia w zajęciach religii rzymsko-katolickiej, w którym zauważamy nieprawidłowości m.in. wymuszanie oświadczeń negatywnych w sprawie udziału w lekcjach z religii (syn/córka nie będzie uczestniczyć), pominięcie w drukach przedmiotu etyka, a także preferowanie wyboru religii wyłącznie jednego wyznania.
Nie jest dopuszczalne przez przepisy prawa odbieranie przez szkołę od rodziców lub uczniów oświadczeń (negatywnych deklaracji) wskazujących, że uczeń nie będzie uczęszczał na religię lub etykę lub też przedkładanie rodzicom wzorów oświadczeń, które preferują wybór zajęć z jakiejkolwiek religii lub z etyki.
Procedura przyjmowania przedmiotowych oświadczeń od rodziców nie może naruszać dyspozycji art. 53 ust. 7 Konstytucji RP, który wskazuje, że Nikt nie może być obowiązany przez organy władzy publicznej do ujawniania swojego światopoglądu, przekonań religijnych lub wyznania, a także Rozporządzenia Ministra Edukacji Narodowej z dnia 14 kwietnia 1992 roku w sprawie warunków i sposobu organizowania nauki religii w publicznych przedszkolach i szkołach.
W związku z powyższym wnosimy o:
– przeprowadzenie kontroli doraźnej,
– przekazanie fundacji treści protokołów pokontrolnych, w tym zaleceń pokontrolnych, jeśli takowe zostaną sformułowane,
– w szczególności prosimy o zobligowanie szkoły do organizacji zajęć z etyki i religii (w tym zbieranych oświadczeń) zgodnie z prawem stanowionym, w tym gwarancjami Konstytucji RP, Prawem oświatowym, szczególnie rozporządzeniem MEN w przedmiotowej sprawie oraz RODO.
Z poważaniem
Dorota Wójcik
prezeska zarządu
Załączniki:
- Pismo fundacji do dyrekcji z dnia 19 września 2025 r.
- Pismo fundacji do dyrekcji (wezwanie przedsądowe) z dnia 15 października 2025 r
- Odpowiedź dyrekcji szkoły z dnia 17 października 2025 r.